摘要:本研究制备了三种不同3D层间互锁(LTL)编织复合材料,分别为斜纹结构(TS)、缎纹结构(SS)和加填纱斜纹结构(STS)。通过落锤冲击试验评估了这些复合材料的低速冲击(LVI)抗性,分析了纱线交织对复合材料宏观机械行为的影响。此外,采用3D轮廓仪和微计算机断层扫描(CT)检查了冲击损伤机制。结果表明,SS中较长的浮动纱线导致基体压溃载荷增加11.72%,峰值载荷上升6.82%,吸收弹性能量减少11.51%,相较于TS。STS中加入填纱使赫兹失效载荷提高16.51%,持续接触时间减少19.53%,最大位移降低17.32%,相较于TS。TS因其密集的纱线交织展现出优异的抗冲击性能,有效分散冲击载荷。相比之下,SS因浮动纱线较长且交织点较少,利于能量耗散,但更易产生应力集中。STS中填纱的添加显著改善了层间结合和整体抗冲击性能,特别是在层间剪切强度和能量吸收效率方面。








结论:本研究对TS、SS和STS试样的低速冲击(LVI)响应进行了比较分析,并通过3D轮廓仪和微CT测试对其损伤机制进行了定量评估。全面的实验研究得出以下关键结论:
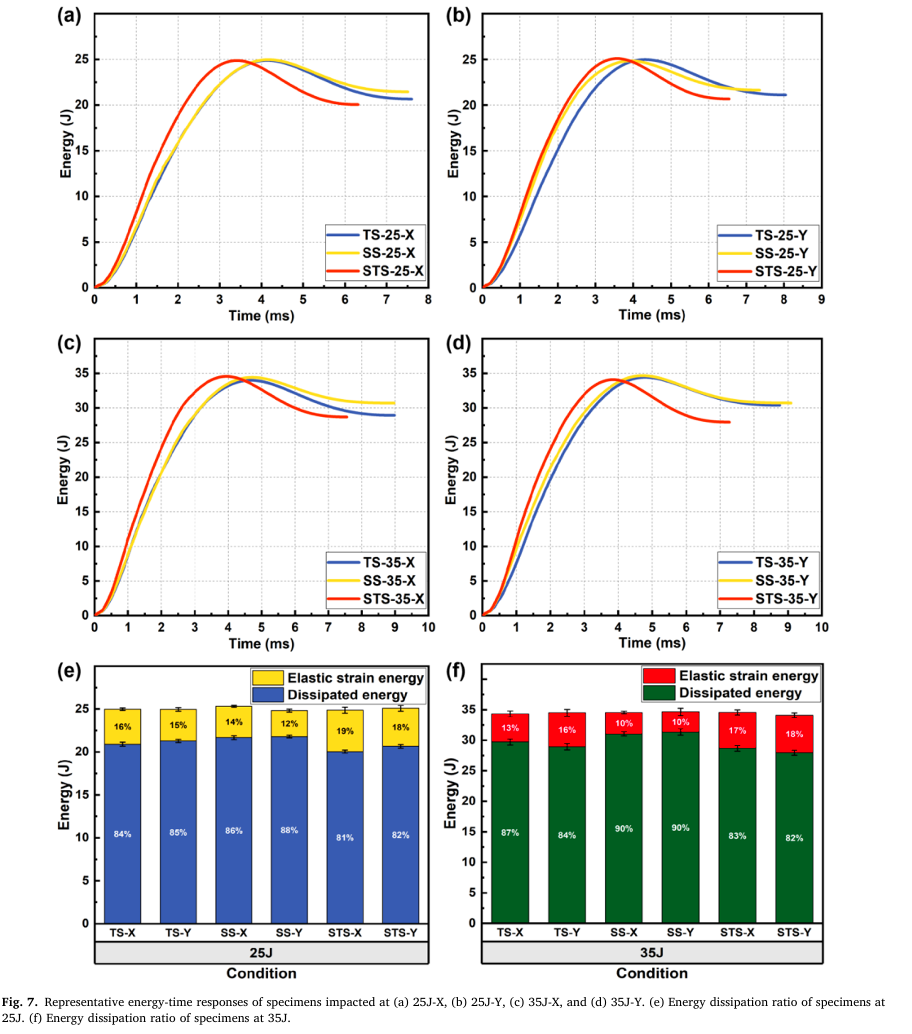
(1)3D层间互锁编织复合材料的低速冲击(LVI)响应曲线可分为三个不同阶段和四个关键点:基体压溃点、赫兹失效点、峰值载荷点和最大能量耗散点(对应最大位移)。载荷-时间、载荷-位移和能量-时间曲线在三种织物结构间差异显著,这些差异归因于纱线交织模式的差异。
(2)所有试样受冲击侧的宏观表面损伤呈十字形模式,主要特征为试样压缩引起的凹痕,随后从凹痕处产生基体裂纹。在非冲击侧,损伤呈椭圆形,表现为断裂、分裂、承力纤维的基体裂纹以及损伤区域内基体与纤维的层间剥离。
(3)编织模式对复合材料内部应力分布有重要影响。TS复杂的交织结构通过有效分散应力,促进更均匀的应力分布。相比之下,SS较长的浮动纱线导致局部应力集中,形成高应力脆弱区域。STS通过加入填纱增强层间应力传递,改善材料在层间更均匀地分布应力的能力。